• Предмет: Алгебра
  • Автор: fctdgsygfdhngfxzgsac
  • Вопрос задан 1 год назад

Обчислити інтеграл частинами.

Приложения:

Ответы

Ответ дал: NNNLLL54
1

Ответ:

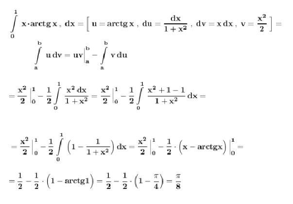
Вычислить определённый интеграл .

Применяем формулу интегрирования по частям в определённом интеграле .

\bf \displaystyle \int\limits_0^1\ x\cdot arctg\, x\ ,\ dx=\Big[\ u=arctg\, x\ ,\ du=\frac{dx}{1+x^2}\ ,\ dv=x\, dx\ ,\ v=\frac{x^2}{2}\ \Big]=\\\\{}\qquad \ \ \ \int\limits_{a}^{b}\ u\, dv=uv\Big|_{a}^{b}-\int\limits_{a}^{b}\, v\, du\\\\\\=\frac{x^2}{2}\, \Big|_0^1-\frac{1}{2}\int\limits_0^1\, \frac{x^2\, dx}{1+x^2}=\frac{x^2}{2}\, \Big|_0^1-\frac{1}{2}\int\limits_0^1\, \frac{x^2+1-1}{1+x^2}\, dx=

\bf \displaystyle =\frac{x^2}{2}\, \Big|_0^1-\frac{1}{2}\int\limits_0^1\, \Big(1-\frac{1}{1+x^2}\Big)\, dx=\frac{x^2}{2}\, \Big|_0^1-\frac{1}{2}\cdot \Big(x-arctgx\Big)\, \Big|_0^1=\\\\\\=\frac{1}{2}-\frac{1}{2}\cdot \Big(1-arctg1\Big)=\frac{1}{2}-\frac{1}{2}\cdot \Big(1-\frac{\pi }{4}\Big)=\frac{\pi }{8}      

Приложения:

fctdgsygfdhngfxzgsac: спасибо большое)
Вас заинтересует