• Предмет: Геометрия
  • Автор: obespalkovanya2011
  • Вопрос задан 1 год назад

помогите пожалуйста
даю 50 балов​

Приложения:

Ответы

Ответ дал: olhovskasnizana
0

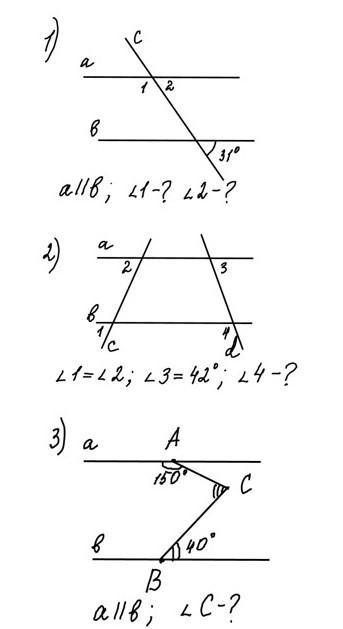
Ответ:1                 кут 2 - 31 градусів

кут 1 - 149 драдусів

Объяснение:

Вас заинтересует