• Предмет: Алгебра
  • Автор: diori1808
  • Вопрос задан 1 год назад

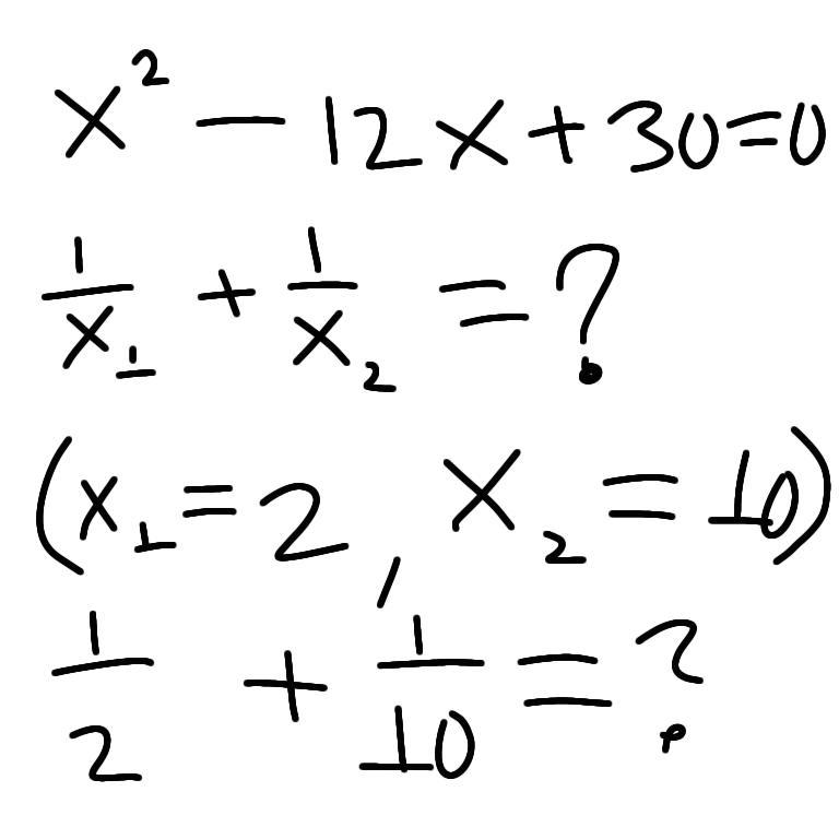
X^2-12+20=0
Я решила по т. Виета, что х1=2, а х2=10
Как решить вопрос в самом низу прикрепленной картинки?
1/2+1/10=???

Приложения:

Ответы

Ответ дал: sabelskaapolina
0
1*5/10+1/10=5/10+1/10=6/10=3/5
Ответ дал: sangers1959
0

Объяснение:

x^2-12x+20=0\\\\x^2-2x-10x+20=0\\\\x*(x-2)-10*(x-2)=0\\\\(x-2)*(x-10)=0\\\\x-2=0\\\\x_1=2.\\\\x-10=0\\\\x_2=10.\\\displaystyle\\\frac{1}{x_1}+\frac{1}{x_2}  =\frac{x_2+x_1}{x_1*x_2} =\frac{10+2}{2*10}=\frac{12}{20}=\frac{3}{5}=0,6 .

Вас заинтересует