• Предмет: Алгебра
  • Автор: zakharnextlevel1
  • Вопрос задан 2 года назад

СРООООЧНООО ПОМОГИТЕ 100 БАЛЛВ ДАМ

Приложения:

Ответы

Ответ дал: imbroken2705
0

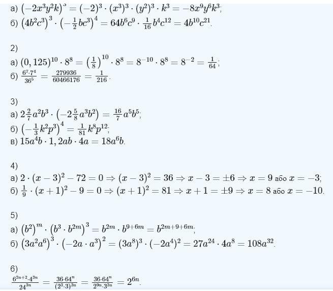
хз правильно ли тут, но держи

Приложения:
Вас заинтересует