• Предмет: Математика
  • Автор: mrkapilk45
  • Вопрос задан 1 год назад

Помогите пожалуйста решить пример надо срочно!!!

Приложения:

Ответы

Ответ дал: ChoKapCho
2

Ответ:

Пошаговое объяснение:

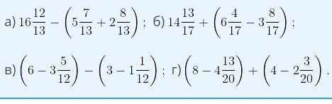
a) 16 12/13-(5 7/13+2 8/13)=16 12/13-8 2/13=8 10/13

б) 14 13/17+(6 4/17-3 8/17)=14 13/17+(5 21/17-3 8/17)=14 13/17+2 13/17=17 9/17

в)(6-3 5/12)-(3-1 1/12)=(5 12/12-3 5/13)-(2 12/12-1 1/12)= 2 7/12- 1 11/12=1 19/12-1 11/12= 8/12

г)(8- 4 13/20)+( 4- 2 3/20)=(7 20/20- 4 13/20)+(3 20/20- 2 3/20)=3 7/20+1 17/20= 5 4/20

Вас заинтересует