• Предмет: Алгебра
  • Автор: mududzkxjd
  • Вопрос задан 2 года назад

повний розв'язок.
ррррррррррррррррррррррррррррррррррр

Приложения:

Ответы

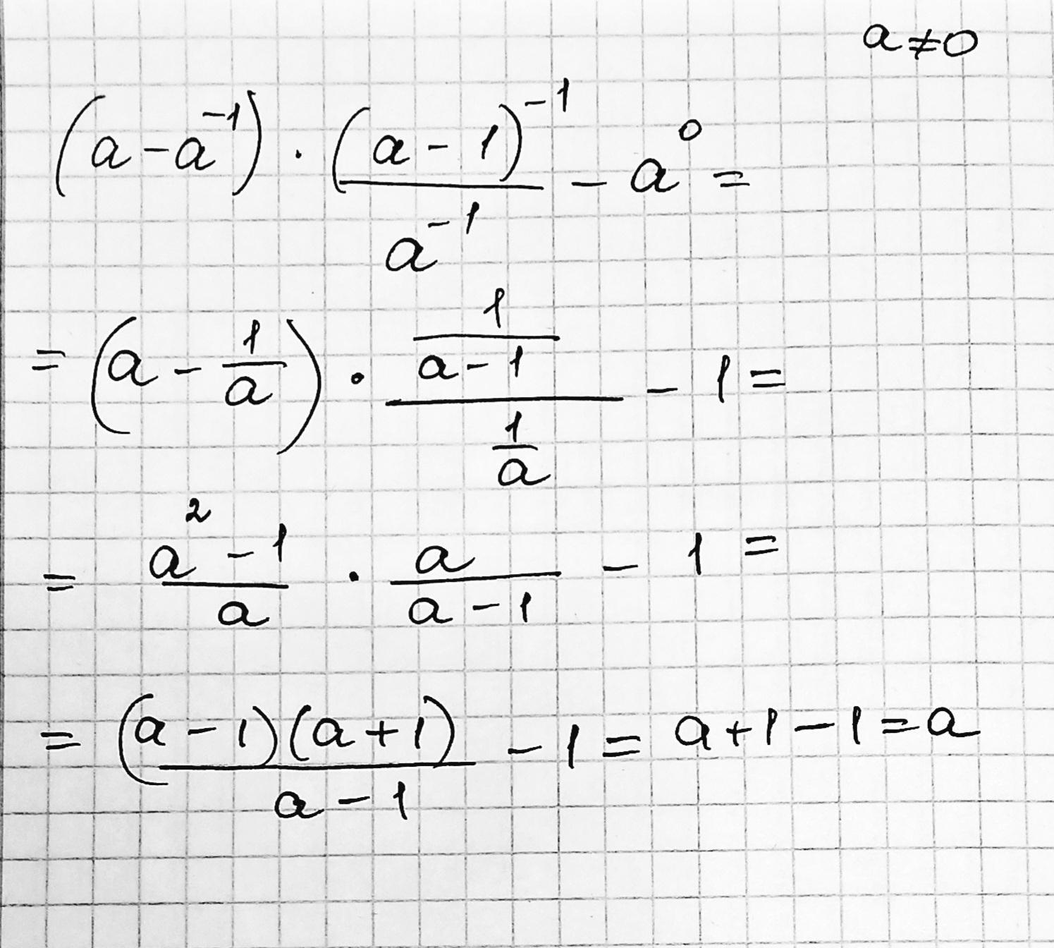
Ответ дал: ВладимирБ
1

Ответ:

a

a#0;a#1

Объяснение:

решение на фото

Приложения:
Вас заинтересует