Ответы
Ответ дал:
0
Ответ:
-3x^2 + 10x >= 6
Объяснение:
х^2 + 6x + 9 -16 >= 1 - 4x + 4x^2
x^2 + 6x - 5 >= 1 - 4x + 4x^2
x^2 + 6x -5 - 1 + 4x - 4x^2 >= 0
-3x^2 + 10x - 6 >= 0
Ответ дал:
0
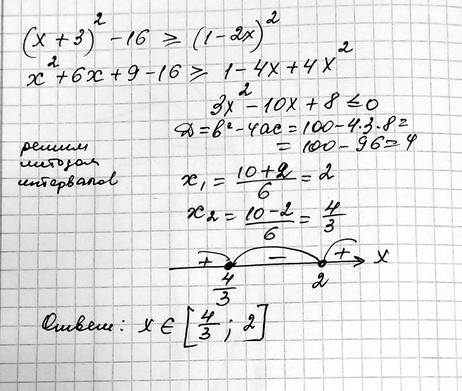
Ответ:
x€[4/3;2]
Объяснение:
решение на фото
Приложения:

Вас заинтересует
1 год назад
1 год назад
1 год назад
2 года назад
2 года назад
8 лет назад