• Предмет: Алгебра
  • Автор: erdenejargalm0111
  • Вопрос задан 1 год назад

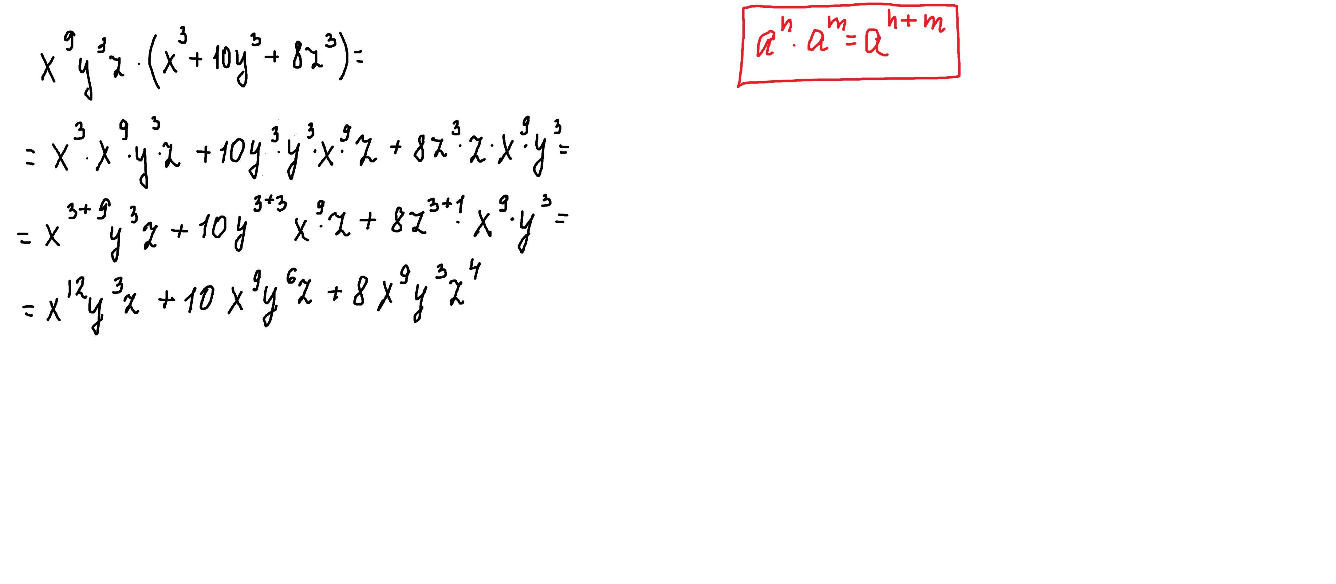
Найди произведение многочлена и одночлена x⁹y³z(x³+10y³+8z³)​

Ответы

Ответ дал: parus77
0

Ответ:

Объяснение:

при умножении степеней с одинаковым основанием показатели складываются

Приложения:
Вас заинтересует