ПОМОГИТЕ ПОЖАЛУЙСТА МОЛЮ ВАС ПОМОГИТЕ ПРОШУУУУУУ СРОЧНО НАДО ОЧЕНЬ!!!!!!!!!!!!!!
Приложения:

vladislavaleksandren:
В 1 сверху 36b^6c^3
Ответы
Ответ дал:
0
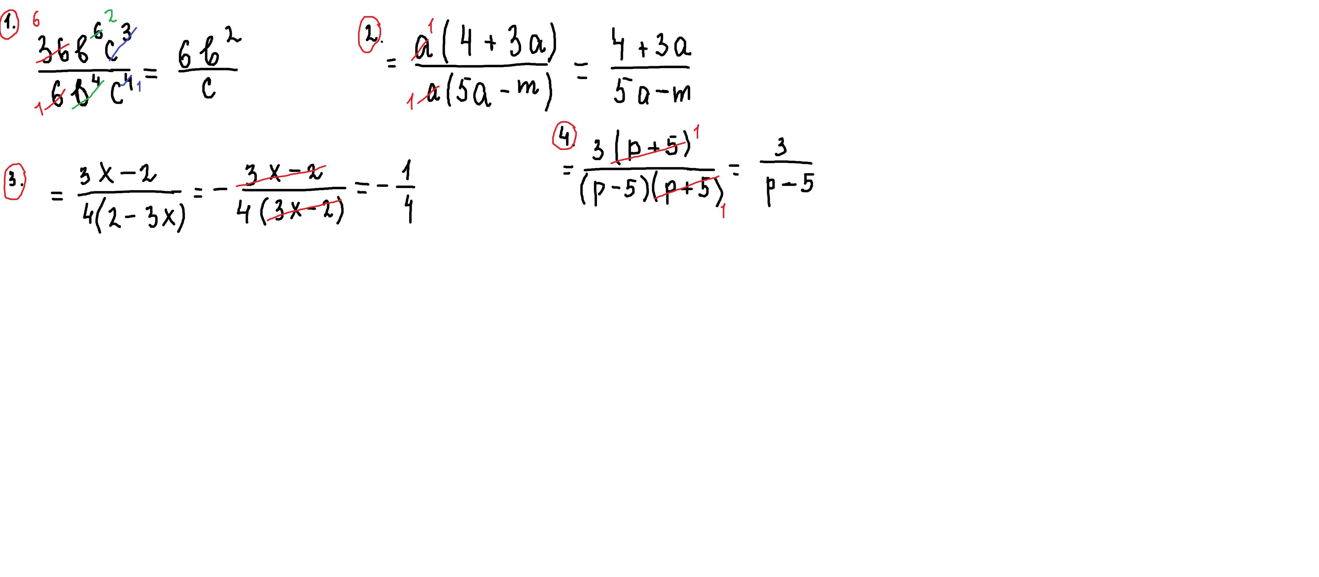
Ответ:
Объяснение:
решение внизу
Приложения:

Вас заинтересует
1 год назад
1 год назад
1 год назад
1 год назад
2 года назад
2 года назад
8 лет назад
8 лет назад