• Предмет: Физика
  • Автор: 123Tyupfhh
  • Вопрос задан 2 года назад

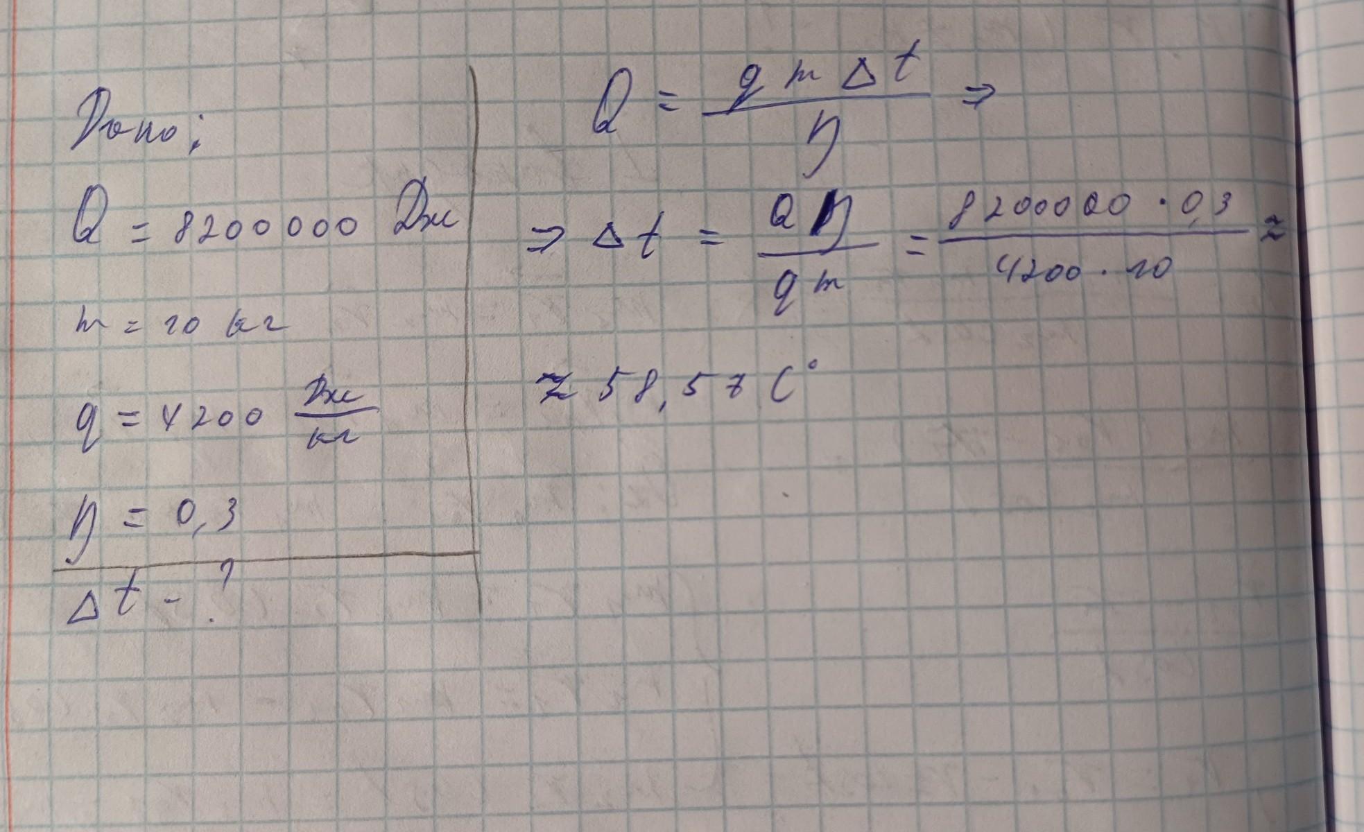
На скільки градусів Цельсія можна нагріти 10 кг води нагрівником, ККД якого становить 30%, якщо при повному згорянні палива виділяється енергія 8,2МДж СРОЧНО

Ответы

Ответ дал: keshastoporom2007
0

Объяснение:

Не пугайся не целых чисел, это норм в физике

Приложения:

123Tyupfhh: можеш допомогти з ще одним
Вас заинтересует