• Предмет: Математика
  • Автор: jxxl3sq
  • Вопрос задан 1 год назад

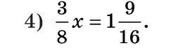
помогите с примером уже час сижу не могу сделать, тема Десяткове наближення звичайного дробу

Приложения:

Ответы

Ответ дал: jekadva
1

Ответ:

Пошаговое объяснение:

\frac{3}{8} x=1\frac{9}{16} \\ \\ x=1\frac{9}{16} :\frac{3}{8} \\ \\ x=\frac{25}{16} *\frac{8}{3} \\ \\ x=\frac{25}{6} \\ \\ x=4\frac{1}{6}

Вас заинтересует