• Предмет: Алгебра
  • Автор: khomyshnastya
  • Вопрос задан 2 года назад

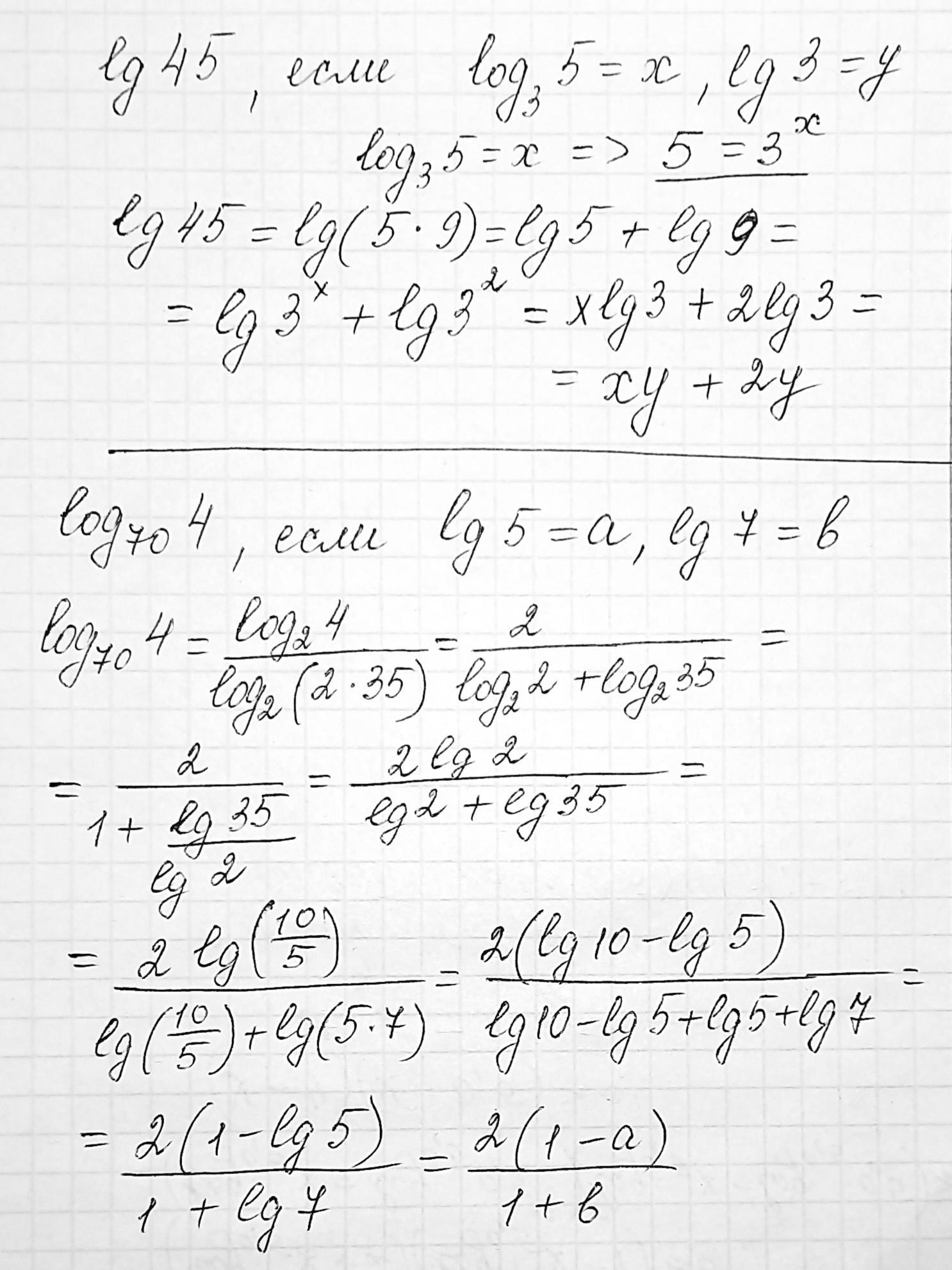
Допоможіть прошу,ДУЖЕ ТЕРМІНОВО,розв'язати логарифми

Приложения:

Ответы

Ответ дал: ВладимирБ
1

Ответ:

Объяснение:

решение на фото

Приложения:

khomyshnastya: Велике дякую,ви чудесна людина!
Вас заинтересует