• Предмет: Алгебра
  • Автор: Hoholololol
  • Вопрос задан 1 год назад

Завдання

Розв"язати системи рівнянь методом підстановки, що нижче

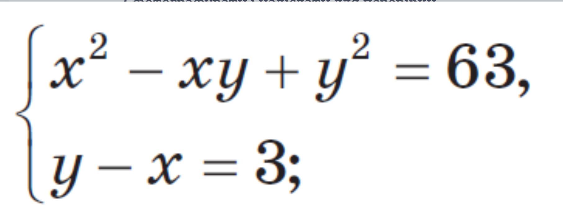
Приложения:

Ответы

Ответ дал: sangers1959
1

Ответ: (-9;-6), (6;9).

Объяснение:

\displaystyle\\\left \{ {{x^2-xy+y^2=63} \atop {y-x=3}} \right.\ \ \ \ \ \ \left \{ {{x^2-x*(3+x)+(3+x)^2=63} \atop {y=3+x}} \right.\\\\\\\left \{ {{x^2-3x-x^2+9+6x+x^2-63=0} \atop {y=x+3}} \right.\ \ \ \ \ \left \{ {{x^2+3x-54=0} \atop {y=x+3}} \right. \\\\\\\left \{ {{x^2+9x-6x-54=0} \atop {y=x+3}} \right.\ \ \ \ \ \ \left \{ {{x*(x+9)-6*(x+9)=0} \atop {y=x+3}} \right\\\\\\

\displaystyle\\\left \{ {{(x+9)*(x-6)=0} \atop {y=x+3}} \right. \ \ \ \ \ \ \left \{ {{x_1=-9\ \ \ \ x_2=6} \atop {y_1=-6\ \ \ \ y_2=9}} \right. .

Вас заинтересует