• Предмет: Математика
  • Автор: egoregorovich646
  • Вопрос задан 2 года назад

помогите даю 30 балов

Приложения:

Ответы

Ответ дал: jekadva
1

Ответ:

Пошаговое объяснение:

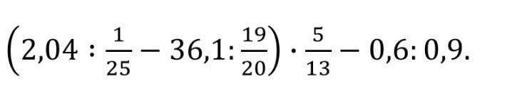
1)2,04:\frac{1}{25} =\frac{204}{100} *\frac{25}{1} =\frac{204}{4} = 51\\ \\ 2)36,1:\frac{19}{20} =\frac{361}{10} *\frac{20}{19} = 19*2=38\\ \\ 3)51-38=13\\ \\ 4)13*\frac{5}{13} =5\\ \\ 5)0,6:0,9 =6:9 = \frac{2}{3} \\ \\ 6)5 -\frac{2}{3} =4\frac{3}{3}-\frac{2}{3} =4\frac{1}{3}  \\ \\ Otvet: 4\frac{1}{3}

Вас заинтересует