• Предмет: Алгебра
  • Автор: Deathclaw14
  • Вопрос задан 1 год назад

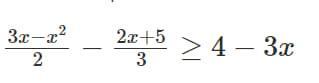
Розв'яжіть нерівність

Приложения:

Ответы

Ответ дал: ВладимирБ
0

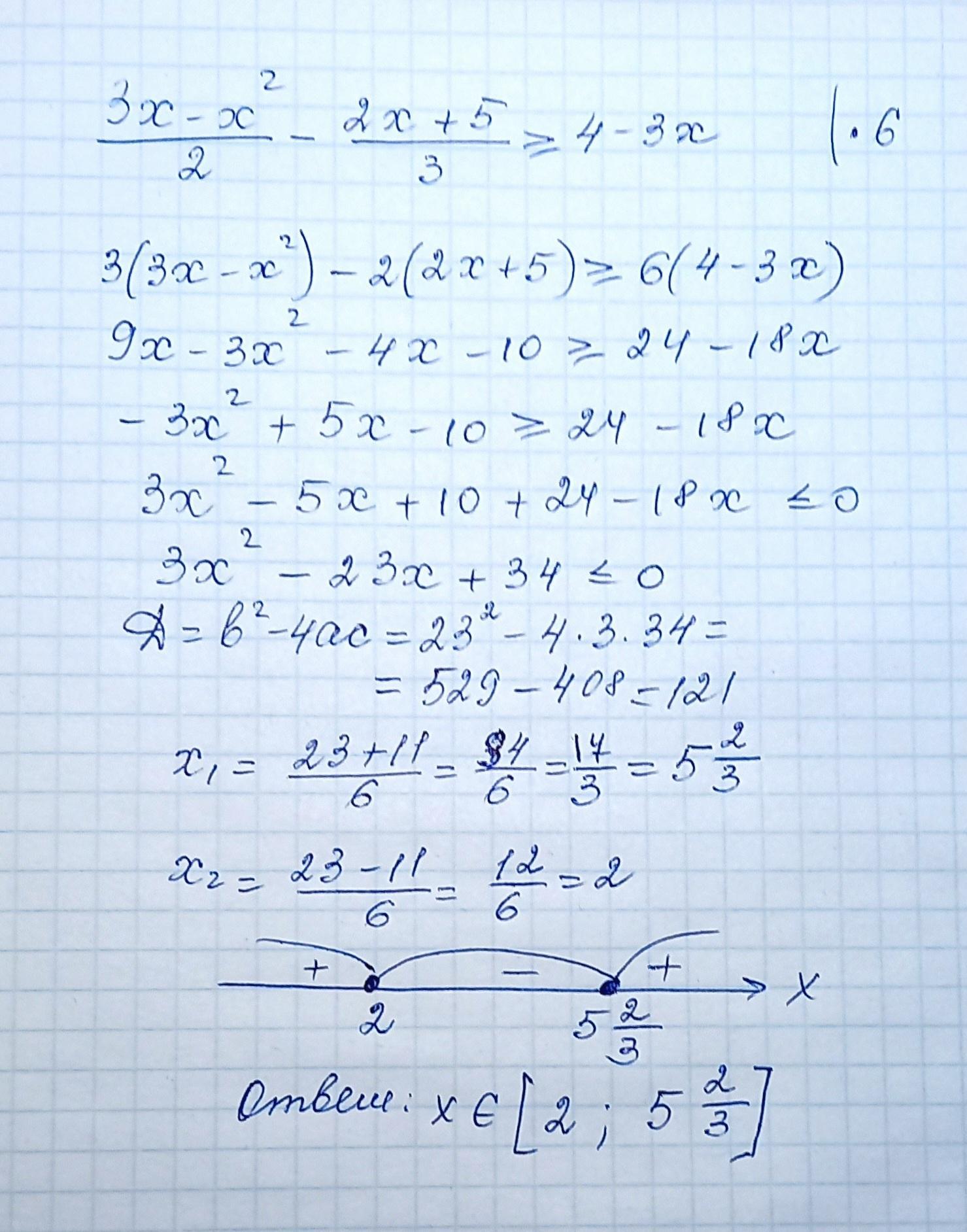
Ответ:

Объяснение:

решение на фото

Приложения:
Вас заинтересует