• Предмет: Алгебра
  • Автор: iiiiiu64
  • Вопрос задан 2 года назад

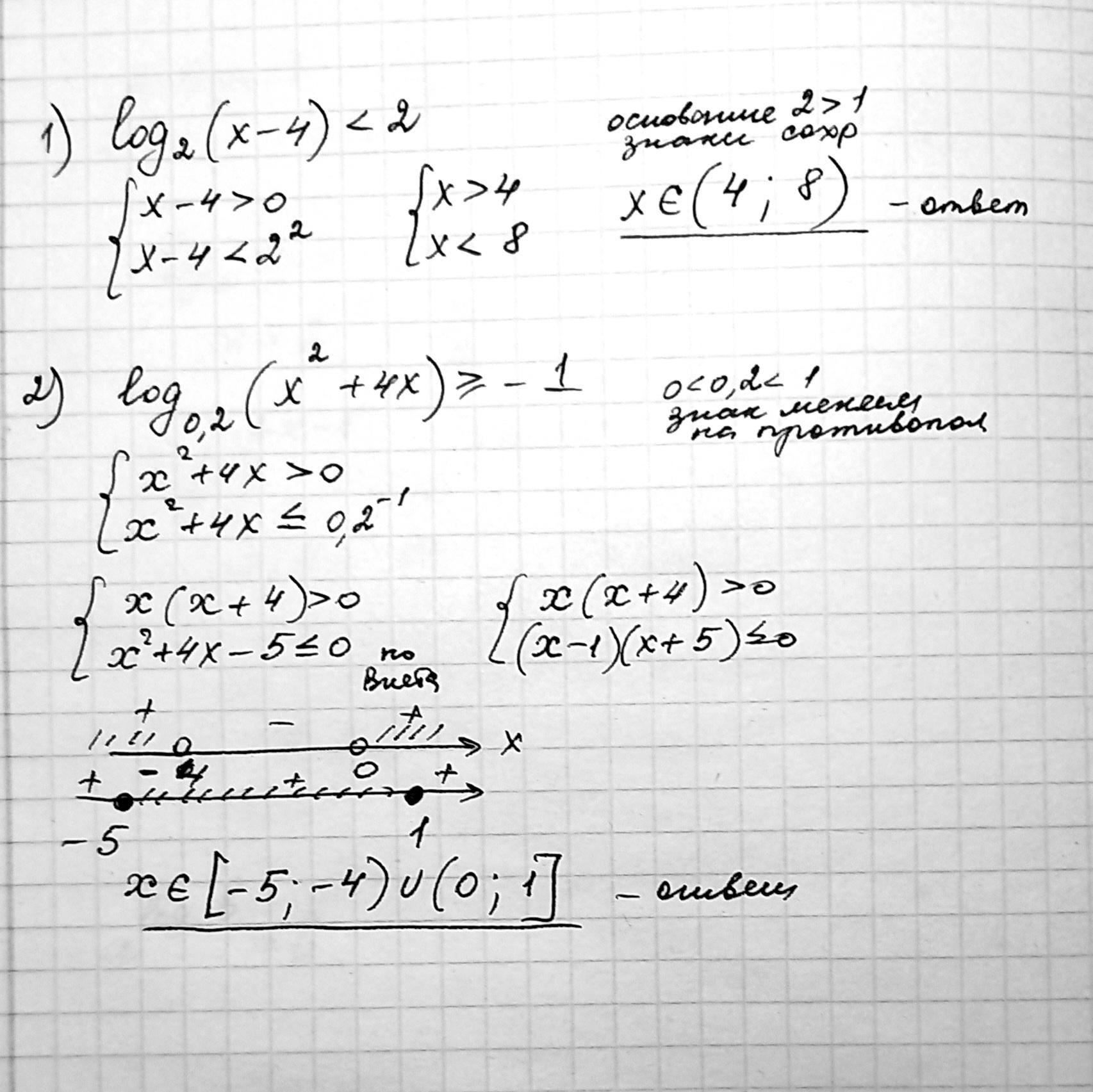
1) log₂ (x-4) < 2
2) logo,2(x² + 4x) ≥ −1
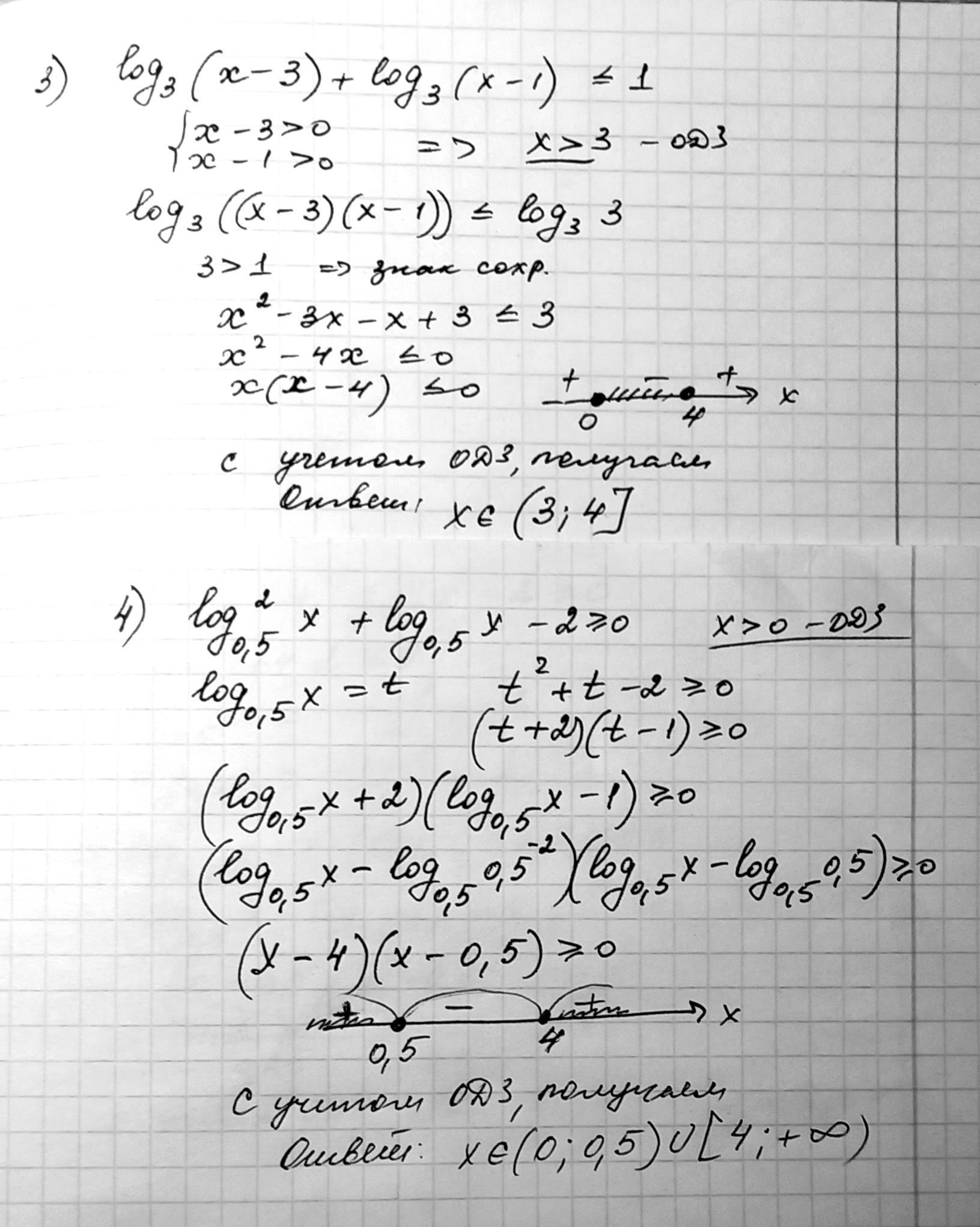
3)log 3 (x - 3) + log 3 (x - 1) ≤ 1
4)log 2 0,5 x + log 0,5 X-2 ≥ 0
СРОЧНО ПОМОГИТЕ С АЛГЕБРОЙ ПОЖАЛУЙСТА

Приложения:

Ответы

Ответ дал: ВладимирБ
1

Ответ:

Объяснение:

решение на фото

Приложения:

iiiiiu64: Спасибо вам большое❤️❤️❤️❤️❤️❤️❤️❤️❤️
MiguelHayakawa: я не успел(
Ответ дал: MiguelHayakawa
0

Ответ:

На фото.

Объяснение:

by Miguel
hard diff

Приложения:

iiiiiu64: Спасибо!!!
Вас заинтересует