• Предмет: Математика
  • Автор: amiraamira2225747
  • Вопрос задан 1 год назад

помогите прошу
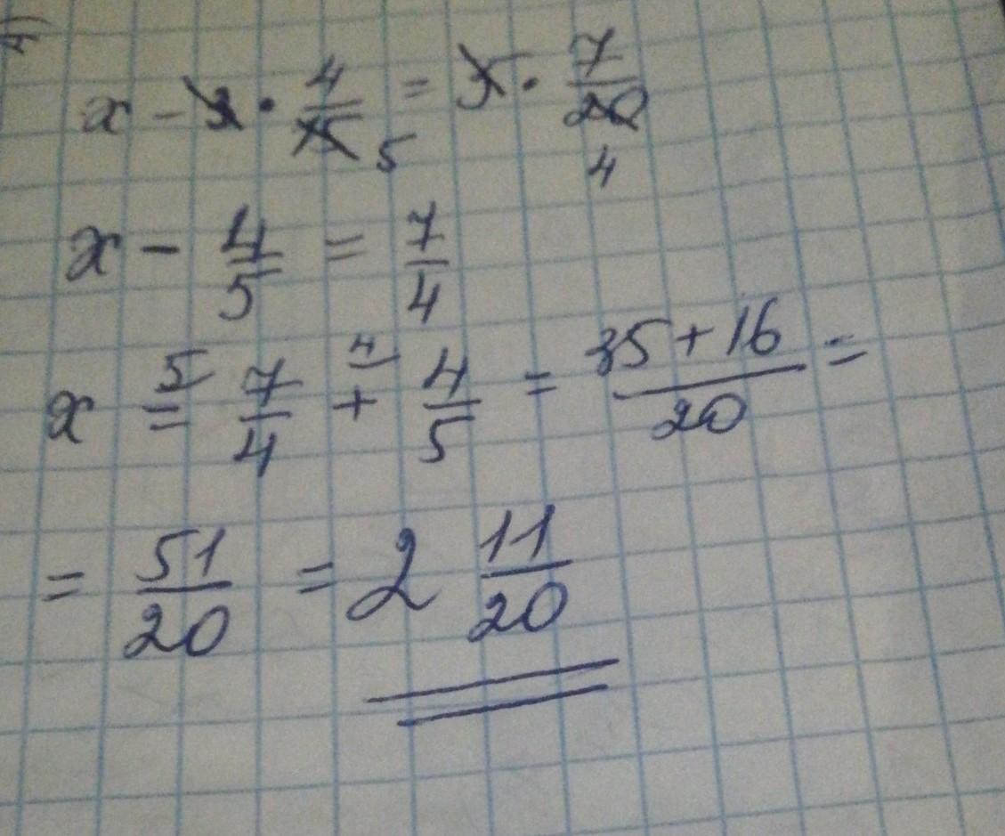
x - 3 \times \frac{4}{15}  = 5 \times \frac{7}{20}
балов 50​

Приложения:

Ответы

Ответ дал: jekadva
1

Ответ:

Пошаговое объяснение:

x-3\frac{4}{15} =5\frac{7}{20} \\ \\ x=5\frac{7}{20}+3\frac{4}{15}\\ \\ x=5\frac{21}{60} +3\frac{16}{60} \\ \\ x=8\frac{37}{60}


amiraamira2225747: спасибо!
Ответ дал: larisaserova53
0

Ответ:

Смотри решение на фото...

Приложения:
Вас заинтересует