Ответы
Ответ дал:
1
Вот держи вроде правильно
Приложения:

Ответ дал:
1
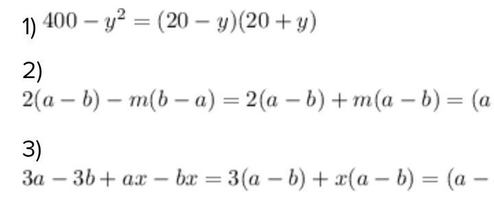
Ответ:
если открыть скобки то получить эти ответы правильными
Приложения:

Вас заинтересует
1 год назад
1 год назад
1 год назад
2 года назад
2 года назад