• Предмет: Алгебра
  • Автор: hola9692
  • Вопрос задан 1 год назад

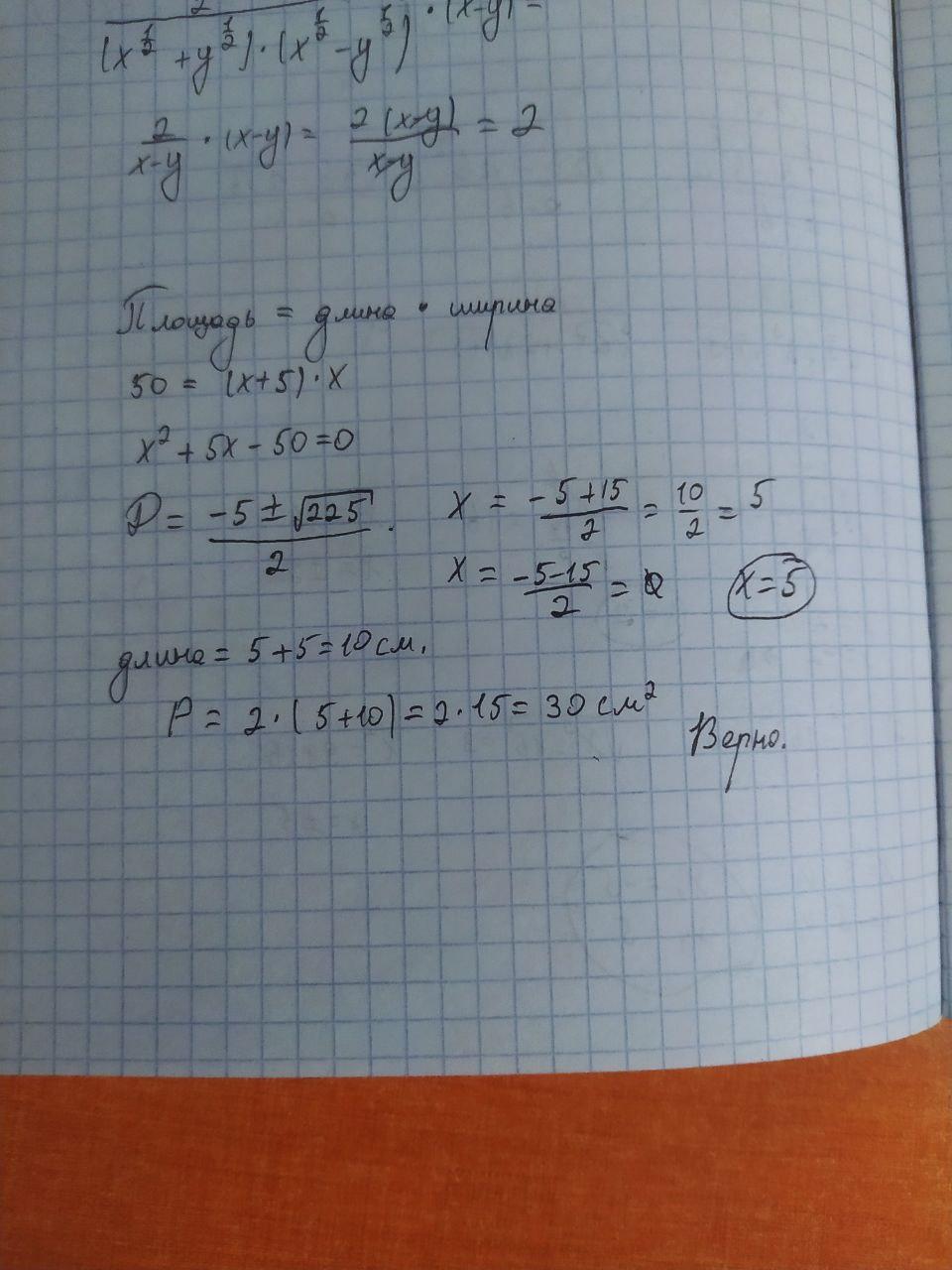
Найдите периметр прямоугольника, длина которого на 5 см больше ширины, а площадь равна 50 см².
50

Ответы

Ответ дал: MiguelHayakawa
2

Ответ:

На фото.

Объяснение:

Длина = 10

Ширина = 5
Площадь = 10 * 5 = 50см
Совпадает с условиями.

Приложения:
Вас заинтересует