• Предмет: Математика
  • Автор: 7karina2013
  • Вопрос задан 1 год назад

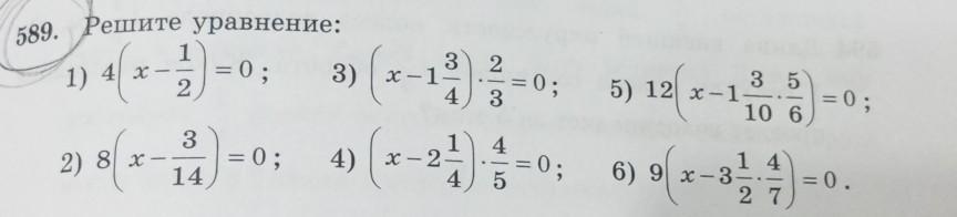
589. Решите уравнение:
Помогите пожалуйста решить СРОЧНО
25 БАЛОВ ДАМ

Приложения:

Ответы

Ответ дал: 02malinka
0

Ответ:

Пошаговое объясненнагвгагагага

Вас заинтересует