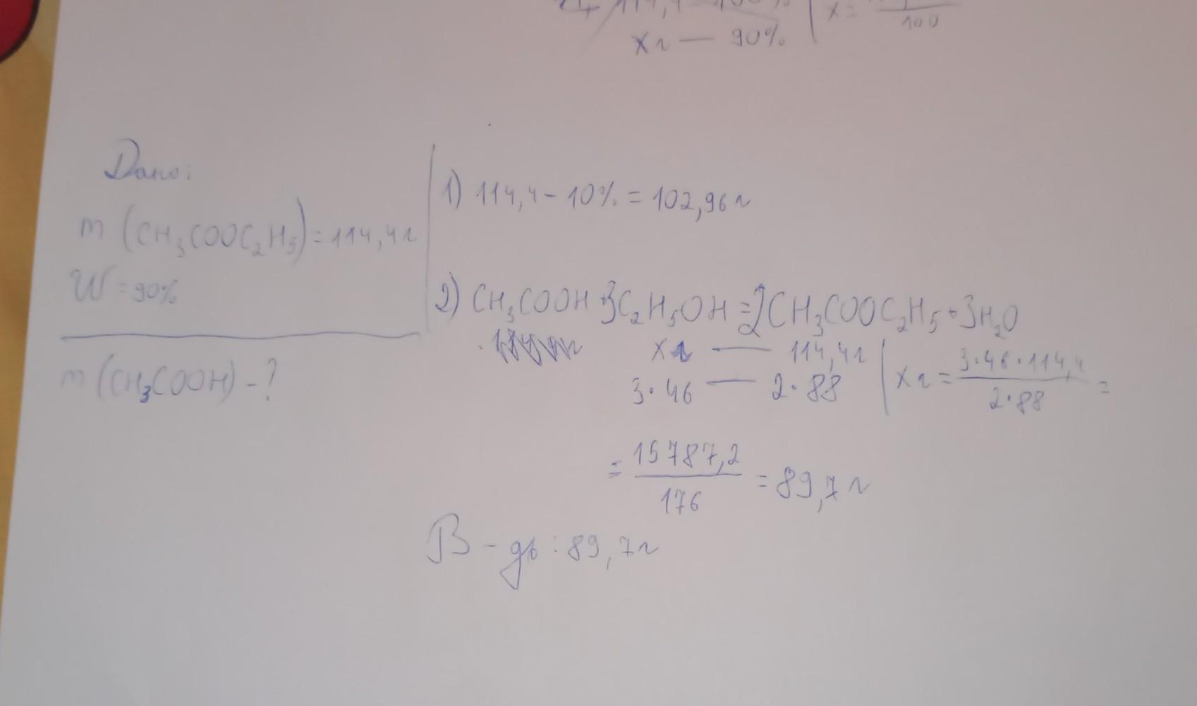
Вкажіть, яку масу кислоти витратили на добування 114,4 г етилового естеру оцтової кислоти, якщо вихід продукту становить 90%.
С Дано пожалуйста! Очень срочно!
(Ответ должен получится 86,7 г)
Даю 50 баллов
Ответы
Ответ дал:
1
Ответ:
у мене вийшло 89,7г
Объяснение:
_______________
Приложения:

Вас заинтересует
1 год назад
1 год назад
1 год назад
2 года назад
2 года назад
8 лет назад
8 лет назад