Ответы
Ответ дал:
0
Відповідь: на фото
Пояснення: на фото
Приложения:

vikyyyyyyyys99:
поможете пожалуйста помочь с заданим в профиле,от верха 3 задание
Ответ дал:
0
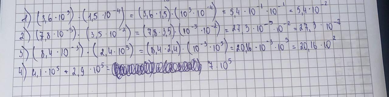
Объяснение:
1) (3,6•10³)•(1,5•10`⁴)=5,4•10`¹
2) (7,8•10`⁵)•(3,5•10`²)=27,3•10`⁷=
=2,73•10•10`⁷=2,73•10`⁶
3) (8,4•10`³):(2,4•10⁵)=3,5•10`⁸
4) 4,1•10⁵+2,9•10⁵=(4,1+2,9)•10⁵=7•10⁵
Вас заинтересует
1 год назад
1 год назад
2 года назад
2 года назад
8 лет назад