• Предмет: Алгебра
  • Автор: bfgx57dxkd
  • Вопрос задан 1 год назад

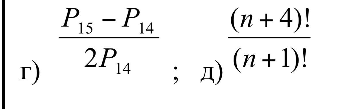
Комбінаторика. Обчислити:

Приложения:

Ответы

Ответ дал: Universalka
0

\displaystyle\bf\\1)\\\\\frac{P_{15} -P_{14} }{2P_{14} } =\frac{15!-14!}{2\cdot 14!}= \frac{14!\cdot 15-14!}{2\cdot 14!}= \\\\\\=\frac{14!\cdot(15-1)}{2\cdot 14!} =\frac{14}{2} =7\\\\2)\\\\\frac{(n+4)!}{(n+1)!} =\frac{(n+1)!\cdot(n+2)\cdot(n +3)\cdot(n+4)}{(n+1)!} )=\\\\\\=(n+2)(n+3)(n+4)

Вас заинтересует