• Предмет: Математика
  • Автор: Taisiasuper200
  • Вопрос задан 2 года назад

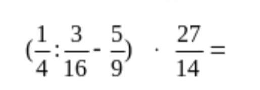
Помогите пожалуйста решить и росписать по действиям

Приложения:

Ответы

Ответ дал: elenacybulina68
0

Ответ:

=(4/3-5/9)×27/14=7/9×27/14=3/2=1 1/2

1) 1/4÷3/16=1/4×16/3=1/1×4/3=4/3

2) 4/3-5/9=12/9-5/9=7/9

3) 7/9×27/14=1/1×3/2=3/2=1 1/2

Вас заинтересует