Ответы
Ответ дал:
1
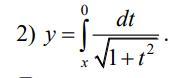
Ответ:
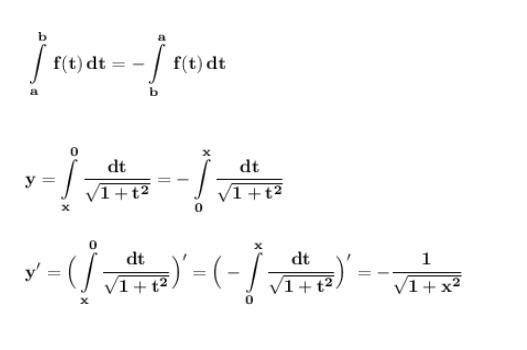
Производная от интеграла по его верхнему пределу равна подынтегральной функции .
Чтобы найти производную от интеграла с переменным нижним пределом , применим свойство определённого интеграла :
.
Приложения:

fctdgsygfdhngfxzgsac:
Спасибо большое)
Вас заинтересует
1 год назад
1 год назад
1 год назад
2 года назад
8 лет назад