Ответы
Ответ дал:
1
Первая часть возможно будет чучуть не понятно но там достаточно просто будет понять что я убрал ;)
Приложения:

andruanmelnyk:
А как еще фотку добавить
————————-
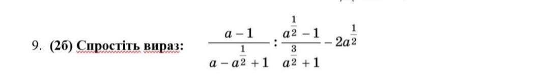
(a-Va + 1 x (Va -1)
Va + 1) x Va-Va + 1) x Va -1 x Va +1
—————————————————
a- Va+1)(Va-1)
(Va + 1) x (Va + 1) -2Va
a + 2Va +1-2Va
a+1
Вас заинтересует
1 год назад
1 год назад
1 год назад
2 года назад
2 года назад
8 лет назад