Ответы
Ответ дал:
1
Надеюсь помогла;33
(Можно лучший ответ? Пожалуйста!!!)
(Можно лучший ответ? Пожалуйста!!!)
Приложения:

Ответ дал:
0
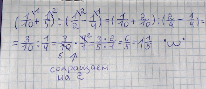
Ответ:
1 1/5
Пошаговое объяснение:
1)1/10+1/5=1+2/10=3/10
2)1/2–1/4=2–1/4=1/4
3)3/10:1/4=3/10•4/1=12/10=6/5=1 1/5
Вас заинтересует
1 год назад
1 год назад
1 год назад
1 год назад
2 года назад