• Предмет: Алгебра
  • Автор: alice12324
  • Вопрос задан 2 года назад

допоможіть з алгеброю.
1) (5/6^х2≥(5/6)^5-4х
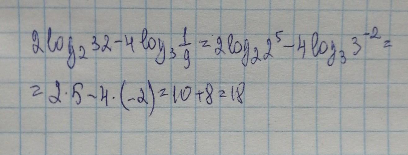
друге завдання на фото.​

Приложения:

Ответы

Ответ дал: ludmilaksenija2005
1

Ответ:

1) [-5;1]

4) В) 18

Объяснение:

на фото

---------------------

Приложения:

alice12324: там ещё первый вопрос есть
alice12324: 1) (5/6^х2≥(5/6)^5-4х
alice12324: это тоже нужно решить
ludmilaksenija2005: добавила
Вас заинтересует