• Предмет: Математика
  • Автор: mineooopppp
  • Вопрос задан 2 года назад

Дплмлжіть будь ласка!​

Приложения:

Ответы

Ответ дал: ladybugsan0
1

Ответ:

вирішення завдання на фото

Приложения:

mineooopppp: Зможеш мені ще допомогти? там такіж самі приклади, 35 балів дам
Ответ дал: yayahopled
0

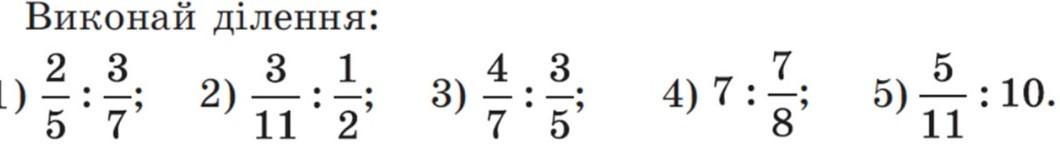
 \frac{2}{5}  \div  \frac{3}{7}  =  \frac{2}{5}  \times  \frac{7}{3}  =  \frac{14}{15}

 \frac{3}{11}  \div  \frac{1}{2}  =  \frac{3}{11}  \times 2 =  \frac{6}{11}

 \frac{4}{7}  \div  \frac{3}{5}  =  \frac{4}{7}  \times  \frac{5}{3}  =  \frac{20}{21}

7 \div  \frac{7}{8}  =  \frac{7}{1}  \times  \frac{8}{7}  =  \frac{8}{1}  = 8

 \frac{5}{11}  \div 10 =  \frac{5}{11}  \times  \frac{1}{10}  =  \frac{1}{22}

Вас заинтересует