Ответы
Ответ дал:
0
Ответ:
1/2+1/3=3/6+2/6=5/6
1/4+5/6-3/12+10/12-13/12=11/12
1/2-1/8-4/8-1/8-3/8
2/3-4/9-6/9-4/9=2/9
Пошаговое объяснение:
должно правильно будь
Ответ дал:
1
Ответ:
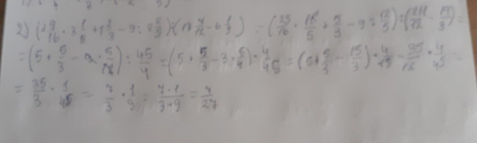
де ти береш такі завдання я єлі єлі зробив , короче дивись відповідь на фото , удачі тобі в математиці пупсік❤
Приложения:

nastyabonyagirl:
Бро, такі завдання мені у школі дають. Дуже допоміг.
Вас заинтересует
1 год назад
1 год назад
1 год назад
1 год назад
2 года назад