• Предмет: Алгебра
  • Автор: vladislavaleksandren
  • Вопрос задан 1 год назад

Помогите пожалуйста, мне уже 5 раз не отвечают

Приложения:

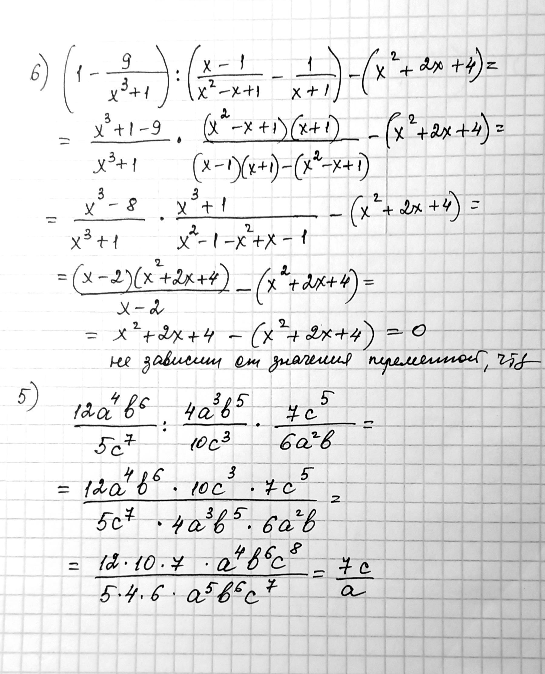
vladislavaleksandren: 5 задание и 6 задание РЕШИТЬ!

Ответы

Ответ дал: ВладимирБ
0

Ответ:



Объяснение:

решение на фото

Приложения:
Вас заинтересует