• Предмет: Алгебра
  • Автор: anatoliasamojluk2008
  • Вопрос задан 1 год назад

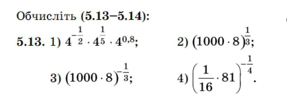
Срочно ПОЖАЛУЙСТА 25 БАЛОВ​

Приложения:

Ответы

Ответ дал: minczulan
1

Ответ: удачи

Объяснение:

Приложения:
Вас заинтересует