6. Проаналізуйте графік руху коня (рис. 1), дайте відповіді на запитання. Побудуйте графік швидкості коня. 1, XM XM 15+ 10+ 5+REVATEL 0 0,5 OBOZREVATI OBOZREVATI 1 1,5 2 1. год Puc. I 1) Скільки часу спостерігали за рухом коня? 2) Скільки часу кінь перебував у стані спокою? 3) Який шлях подолав кінь за останню годину спостереження? 4) З якою швидкістю рухався кінь перші 0.5 год спостереження? 5) Якою була швидкість руху коня останні 0,5 год спостереження? б) Якою є середня швидкість руху коня за весь час спостереження? Подайте отриманий результат у метрах за секунду. Відповідь округліть до десятих.
Ответы
Ответ дал:
0
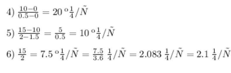
Ответ:
2 часа
1.5 - 0.5 = 1 час
15 - 10 = 5 км
Объяснение:
Приложения:

Вас заинтересует
1 год назад
1 год назад
1 год назад
1 год назад
2 года назад
2 года назад
8 лет назад