• Предмет: Алгебра
  • Автор: rgfgtytyh
  • Вопрос задан 1 год назад

(a + 2a ^ (3/4))/(a ^ (1/2) - 4)

Приложения:

Ответы

Ответ дал: axatar
1

Ответ:

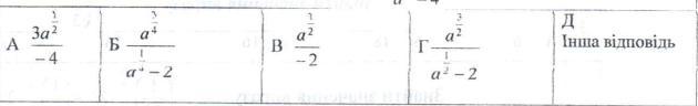
Ответ Б

\tt \displaystyle \frac{a^{\dfrac{3}{4}} }{a^{\dfrac{1}{4}} -2  }

Объяснение:

Требуется упростить выражение

\tt \displaystyle \frac{a+2 \cdot a^{\dfrac{3}{4} }}{a^{\dfrac{1}{2}} -4} .

Информация. Формула сокращённого умножения: a²-b² = (a-b)·(a+b).

Решение. В числителе выносим за скобку общий множитель, а в знаменателе применим формулу сокращённого умножения, потом сократим дробь.

\tt \displaystyle \frac{a+2 \cdot a^{\dfrac{3}{4} }}{a^{\dfrac{1}{2}} -4} =\frac{a^{\dfrac{3}{4}}  \cdot a^{\dfrac{1}{4} }+2 \cdot a^{\dfrac{3}{4} }}{\bigg (a^{\dfrac{1}{4}}\bigg )^2 -2^2} =\frac{a^{\dfrac{3}{4}}  \cdot \bigg (a^{\dfrac{1}{4} }+2\bigg )}{\bigg (a^{\dfrac{1}{4}} -2 \bigg ) \cdot \bigg (a^{\dfrac{1}{4}} +2 \bigg )  } =\frac{a^{\dfrac{3}{4}} }{a^{\dfrac{1}{4}} -2  } .

Значит, ответ Б.

#SPJ1


rgfgtytyh: спасибо
Вас заинтересует