• Предмет: Алгебра
  • Автор: llonskaa28
  • Вопрос задан 1 год назад

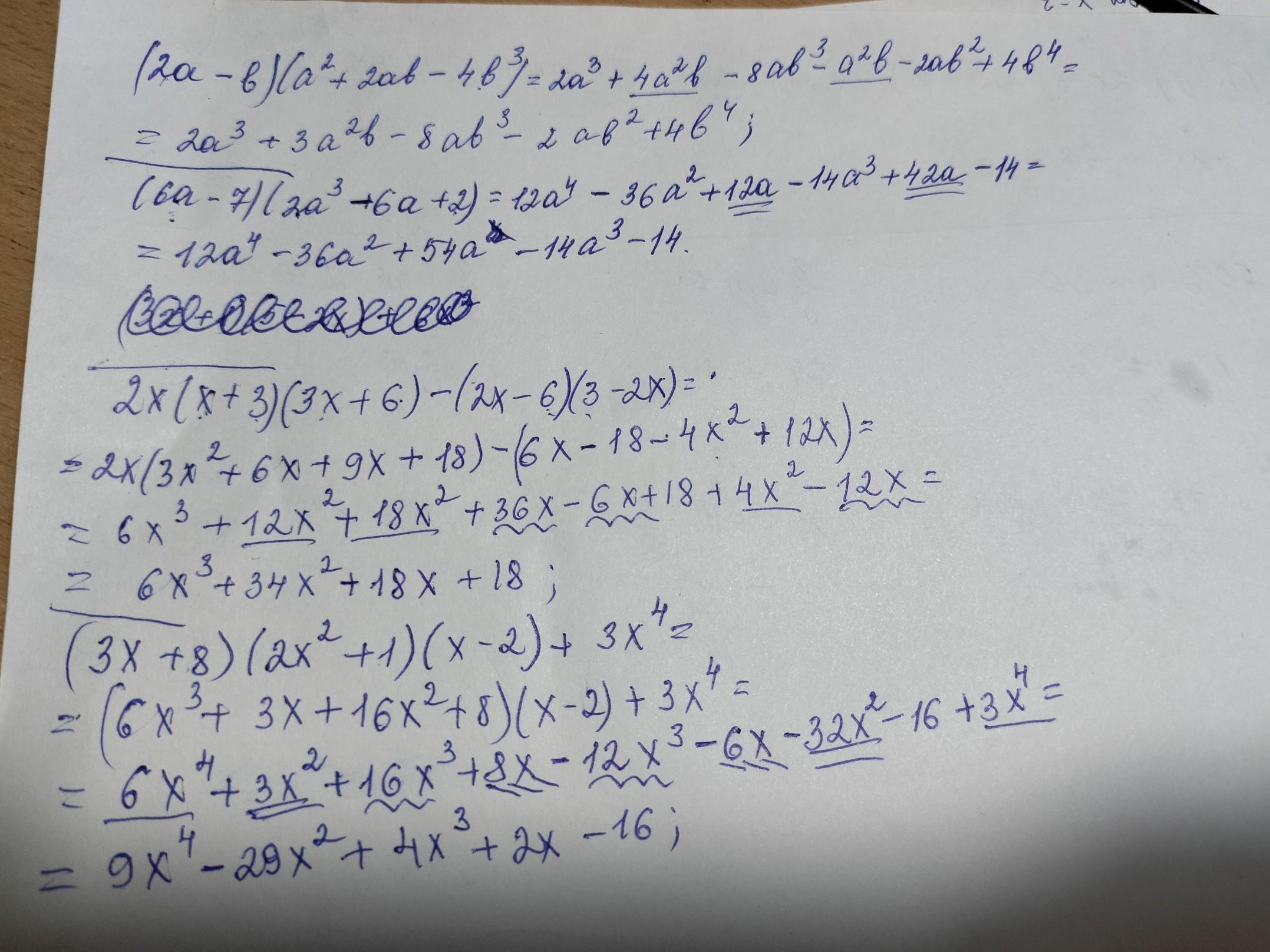
(2a-b)(a2+2ab-4b3) =
(6a-7)(2a3-6a+2)=
(3x+1)(5-2x)+6x2=5-->x=
(x+3)(2x-1)-2x2=7--->x=
(3-6)(2x+2)+(x-3)(12x-2)=0-->x=
2x(x+3)(3x+6)-(2x-6)(3-2x)=
(3x+8)(2x2+1)(x-2)+3x4=
если что цифры после букв это степени
ПОМОИГТЕ ПОЖАЛУЙСТА!!!!!!!!!!

Ответы

Ответ дал: alyona9202
1

Ответ:

остальные примеры не поняла, надо было упростить!?

Приложения:
Вас заинтересует