• Предмет: Алгебра
  • Автор: winipyxx
  • Вопрос задан 1 год назад

Допоможіть будь ласка 50 балів

Приложения:

Ответы

Ответ дал: ВладимирБ
0

Ответ:

Объяснение:

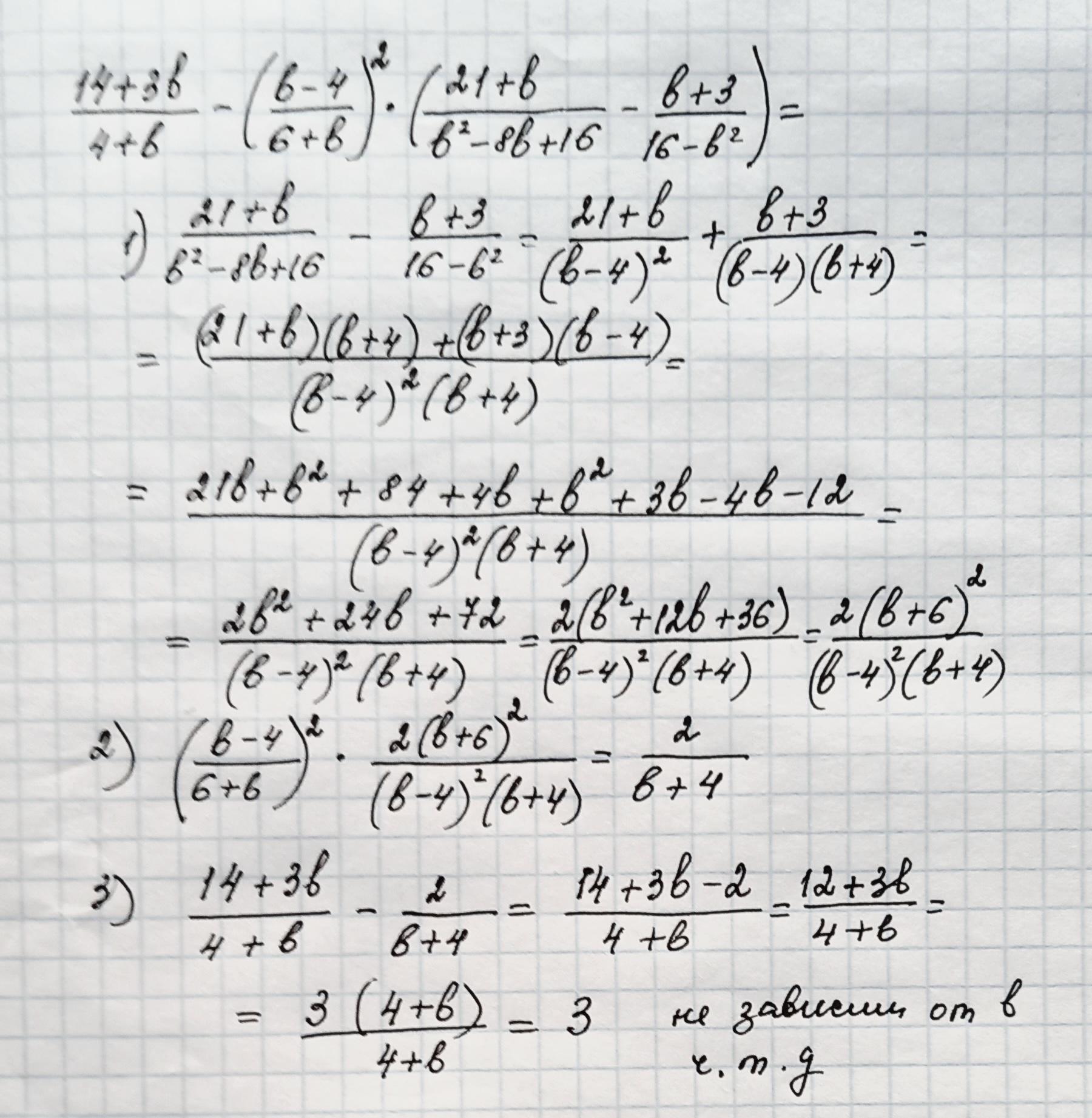
решение на фото

Приложения:
Вас заинтересует