Помогите с решением, без разницы каким методом, главное чтобы было сделано
Приложения:

Аноним:
скину розв‘язок в інст @mathematic_89
Ответы
Ответ дал:
0
Ответ:
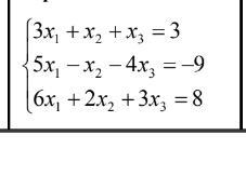
1)3x1+x2+x3=3
5x1-x2-4x3=-9
сложим два этих равенства почленно,получим:
8x1-3x3=-6 первое уравнение новой системы
2)теперь второе и третье равенство данной системы
сложим,изменив коэффициенты второго в 2 раза
5x1-x2-4x3=-9
10x1-2x2-8x3=-18
6x2+2x2+3x3=8
сложим последним два
16x1-5x3=-10-это второе уравнение новой системы
3)решаем новую систему из двух уравнений 1) и 2):
8x1-3x3=-6
16x1-5x3=-10
первое умножаем все коэффициенты на -2
-16x1+6x3=112
16x1-5x3=-10
складываем
х3=2
4)подставляем найденный корень в одно из равенства системы
8x1-6=-6
8x1=0
x1=0
5)x3=2 и х1=0 подставляем в одно из трёх уравнений первоначальной системы
3х1+х2+х3=3
3*0+х2+2=3
х2=1
ответ(х1;х2;х3)=(0;1;2)
Пошаговое об
ъяснение:
Вас заинтересует
1 год назад
1 год назад
1 год назад
2 года назад
2 года назад
8 лет назад