АЛГЕБРА!!! ДУЖЕ СРОЧНО!!!
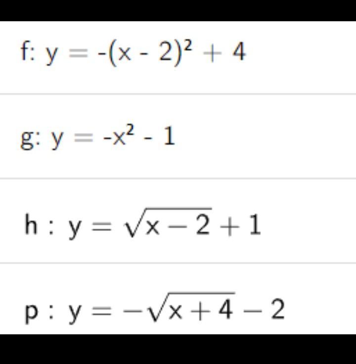
Ті хто розбираються в алгебрі, дуже сильно прошу допомогти!!! Побудуйте графіки функцій, методом елементарних перетворень і опишіть що саме змінюється в графіку словами, на основі правил.
Приложения:

Аноним:
скину розв‘язок в інст @mathematic_89
Ответы
Ответ дал:
2
Відповідь:
фото
Пояснення:
Приложения:



Вас заинтересует
1 год назад
1 год назад
1 год назад
1 год назад
2 года назад
2 года назад
8 лет назад
8 лет назад