• Предмет: Алгебра
  • Автор: Agentit
  • Вопрос задан 2 года назад

Срочно кто сделает тому 100б дам..

Приложения:

Ответы

Ответ дал: neiljosten004
0

Объяснение:

1.

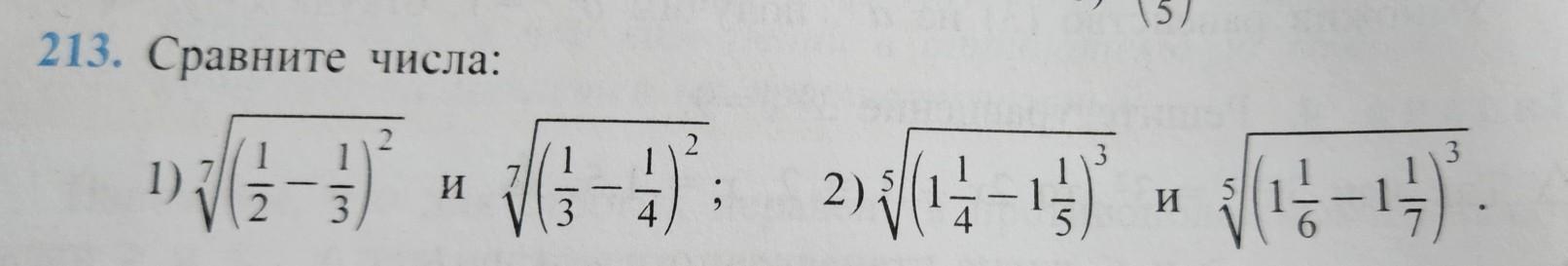
 \sqrt[7]{( \frac{1}{2} } -  \frac{1}{3} {)}^{2} > \sqrt[7]{( \frac{1}{3} }  -  \frac{1}{4})^{2}

Поскольку обы выражения-положительные корни одиниковой степени, и подкоренное выражение

 (\frac{1}{2}  -  \frac{1}{3} )^{2}

больше, чем подкоренное выражение

( \frac{1}{3}  -  \frac{1}{4} )^{2}

2.

 \sqrt[5]{(1 \times \frac{1}{4} - 1 \times \frac{1}{5})^{3}  }  >  \sqrt[5]{(1 \times \frac{1}{6} - 1 \times \frac{1}{7})^{3}     }

поскольку оба выражения-положительные корни одинаковой степени, и подкоренное выражение

(1 \times \frac{1}{4}  - 1 \times \frac{1}{5})^{3}

больше, чем подкоренное выражение

(1 \times \frac{1}{6}  - 1 \times \frac{1}{7} )^{3}

Вас заинтересует