• Предмет: Алгебра
  • Автор: danilsatalin22
  • Вопрос задан 1 год назад

помогите сделать!!!!!!!!!!!!

Приложения:

Ответы

Ответ дал: ahmedtahmak
0

Ответ:

надеемся всей Америкой на тебя

Приложения:
Ответ дал: Vasy75
0

Объяснение:

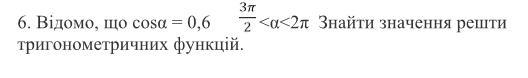
sina=√1-cos^2 a= -0.8(мінус, тому що знаходиться в четвертій четверті)

tg a= sina/cosa=-3/4(мінус, тому що знаходиться в четвертій четверті)

ctg a=1/tg a=4/3

Вас заинтересует