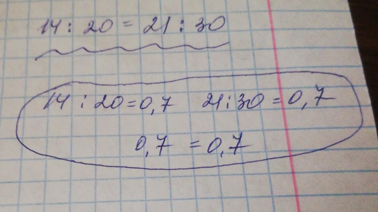
Основну властивість пропорції 14 : 20 = 21 : 30 записують так. Потрібно вибрати одну правильну відповідь
14 : 20 = 30 : 21.
14 ∙ 20 = 30 ∙ 21.
14 ∙ 30 = 20 ∙ 21.
14 : 20 = 21 : 30.
Ответы
Ответ дал:
2
Ответ:4)
Смотри решение на фото..
Приложения:

Вас заинтересует
1 год назад
1 год назад
2 года назад
2 года назад