• Предмет: Математика
  • Автор: v8643161
  • Вопрос задан 1 год назад

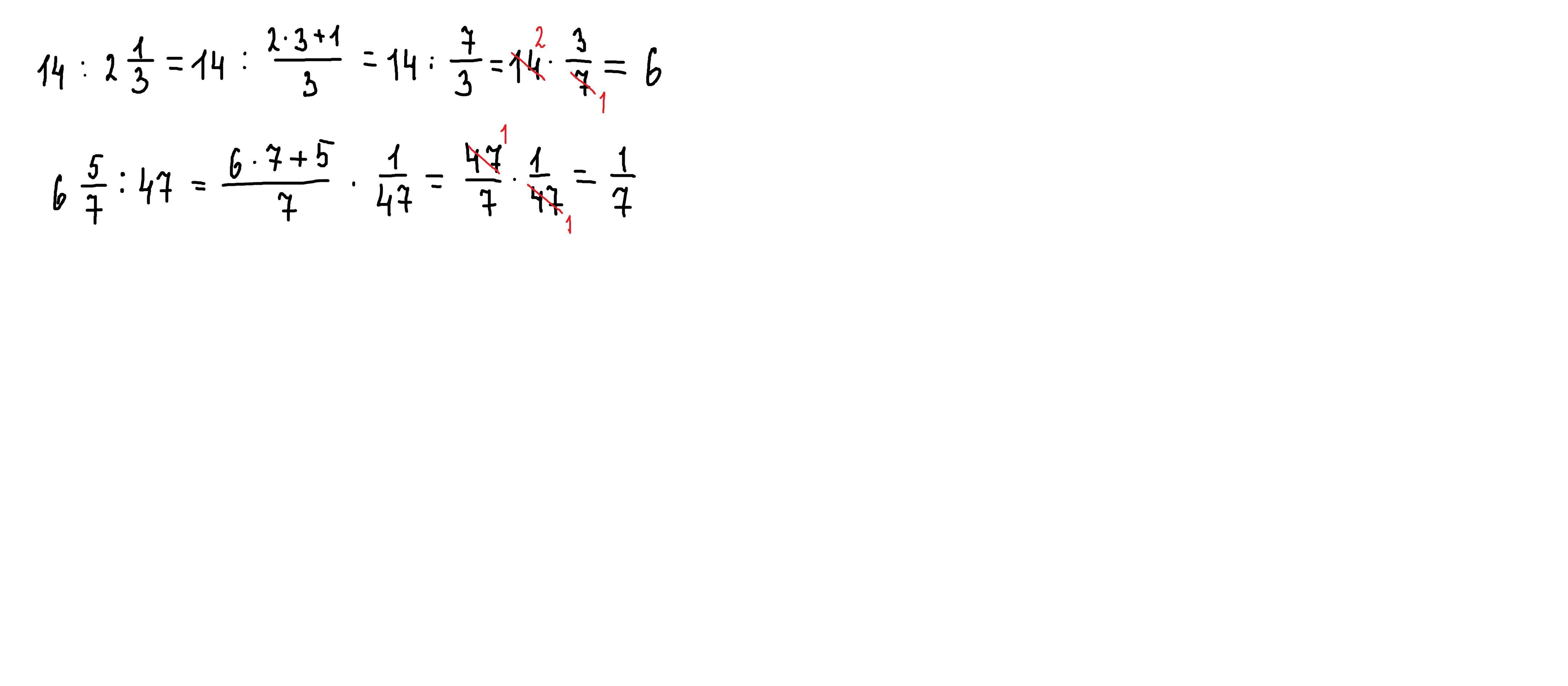
Допоможіть пліс виконайте ділення: 1)14:2 1/3 2)6 5/7:47

Ответы

Ответ дал: dzeraartur
1
Если правильно поняла задание то вот решение
Приложения:
Ответ дал: parus77
1

Ответ:

1)6     2)1/7

Пошаговое объяснение:

Приложения:
Вас заинтересует