• Предмет: Алгебра
  • Автор: rovrbssss
  • Вопрос задан 2 года назад

Поможіть срочно

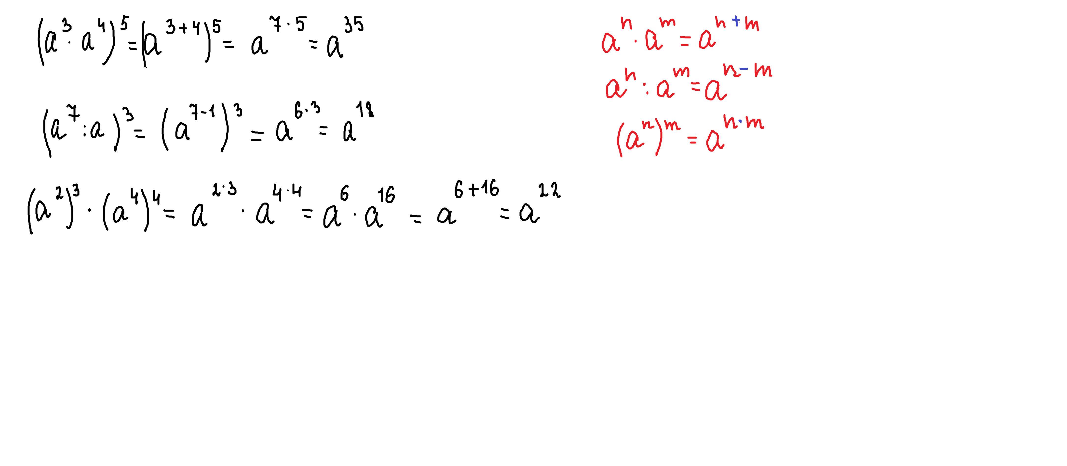
a) (a³a⁴)⁵;

б) (a⁷: a)³;

в) (a²)³×(a⁴)⁴;

Ответы

Ответ дал: laramelkonyan0126
0

Ответ:

а) а¹⁵а²⁰= а³⁵

б) а²¹ : а³= а¹⁸

в) а⁶ × а¹⁶= а²²

Ответ дал: parus77
0

Ответ:

Объяснение:

решение и формулы внизу

Приложения:
Вас заинтересует