СРОЧНО 100 БАЛЛОВ, С ПОНЯТНЫМ РЕШЕНИЕМ ПОЖАЛУЙСТА, ТЕ КТО ПИШЕТ НЕ ПО ТЕМЕ ДАЮ ЖАЛОБУ!!!
Приложения:

Ответы
Ответ дал:
1
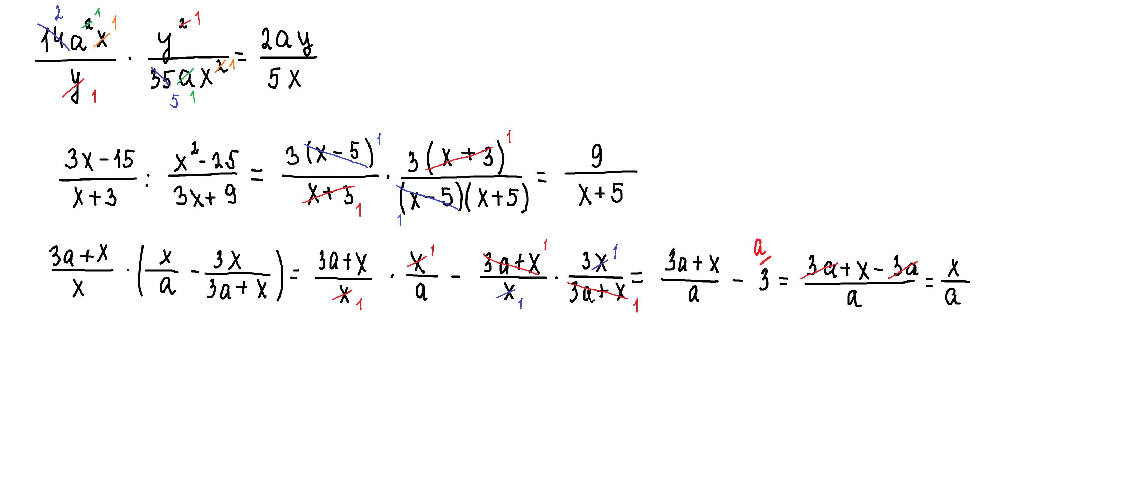
Ответ:
1)2ay/5x
2)9/x+5
3)x/a
Объяснение:
Приложения:

Ответ дал:
1
Ответ:
Объяснение:
все решения внизу,если что то не понятно-спрашивайте.
Приложения:

Вас заинтересует
1 год назад
1 год назад
1 год назад
2 года назад
2 года назад
8 лет назад