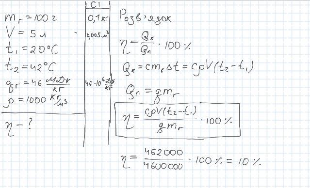
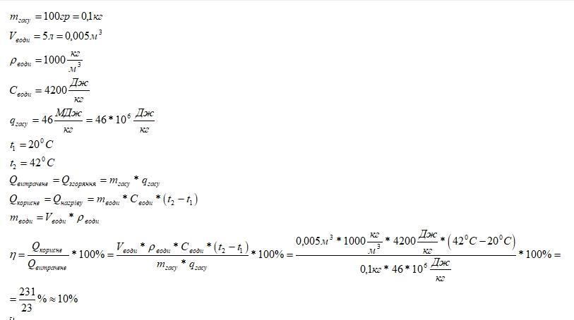
Знайти ККД керогазу, якщо при спалюванні 100 г гасу на ньому нагрівається 5л води від 20°С до 42°C ( написати задачу з дано та системою СІ та розв’язання)
Milkkkkkaaaaaaaa:
Спам=бан
принципиально
только решение
Ответы
Ответ дал:
2
Ответ: Ось!!!!!!!!!!!!!!!!!!!!!
Объяснение:
Приложения:

Ответ дал:
2
Відповідь:
Пояснення:
Приложения:

Вас заинтересует
1 год назад
1 год назад
1 год назад
1 год назад
2 года назад
2 года назад
8 лет назад