• Предмет: Физика
  • Автор: aliona2828
  • Вопрос задан 1 год назад

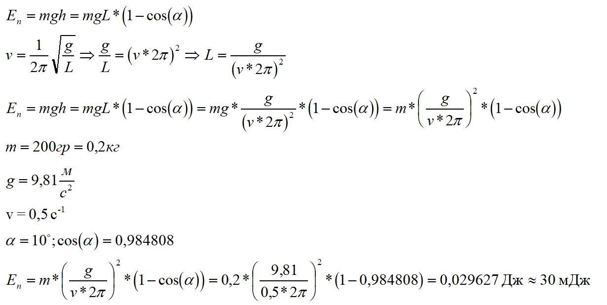
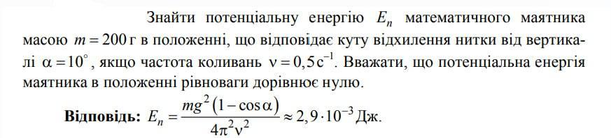
Напишіть розв’язання задачі. Знайти потенціальну енергію Еn математичного маятника масою m = 200 г в положенні, що відповідає куту відхилення нитки від вертикалі a = 10 °
, якщо частота коливань v = 0,5 с^-1. Вважати, що потенціальна енергія
маятника в положенні рівноваги дорівнює нулю.

Приложения:

IUV: допоможи будь-кому - допоможу тобі
IUV: ок, бачу вашу відповідь
зараз розв'яжу вашу задачу

Ответы

Ответ дал: IUV
1

Відповідь:

Пояснення:

Приложения:

IUV: https://prnt.sc/vS3OiOva-KIO
kimkarina953: Здравствуйте, не могли бы помочь с алгеброй пожалуйста. Решение не могли бы на бумаге написать
lysamarina408: здравствуйте помогите пожалуйста с геометрией у меня в профиле
Вас заинтересует