• Предмет: Алгебра
  • Автор: arsbobilev
  • Вопрос задан 1 год назад

ЧИСЛО K=6
ПОМОГИТЕ ПОЖАЛУЙСТА !!!!!!!

Приложения:

Ответы

Ответ дал: Yuriyqp
1

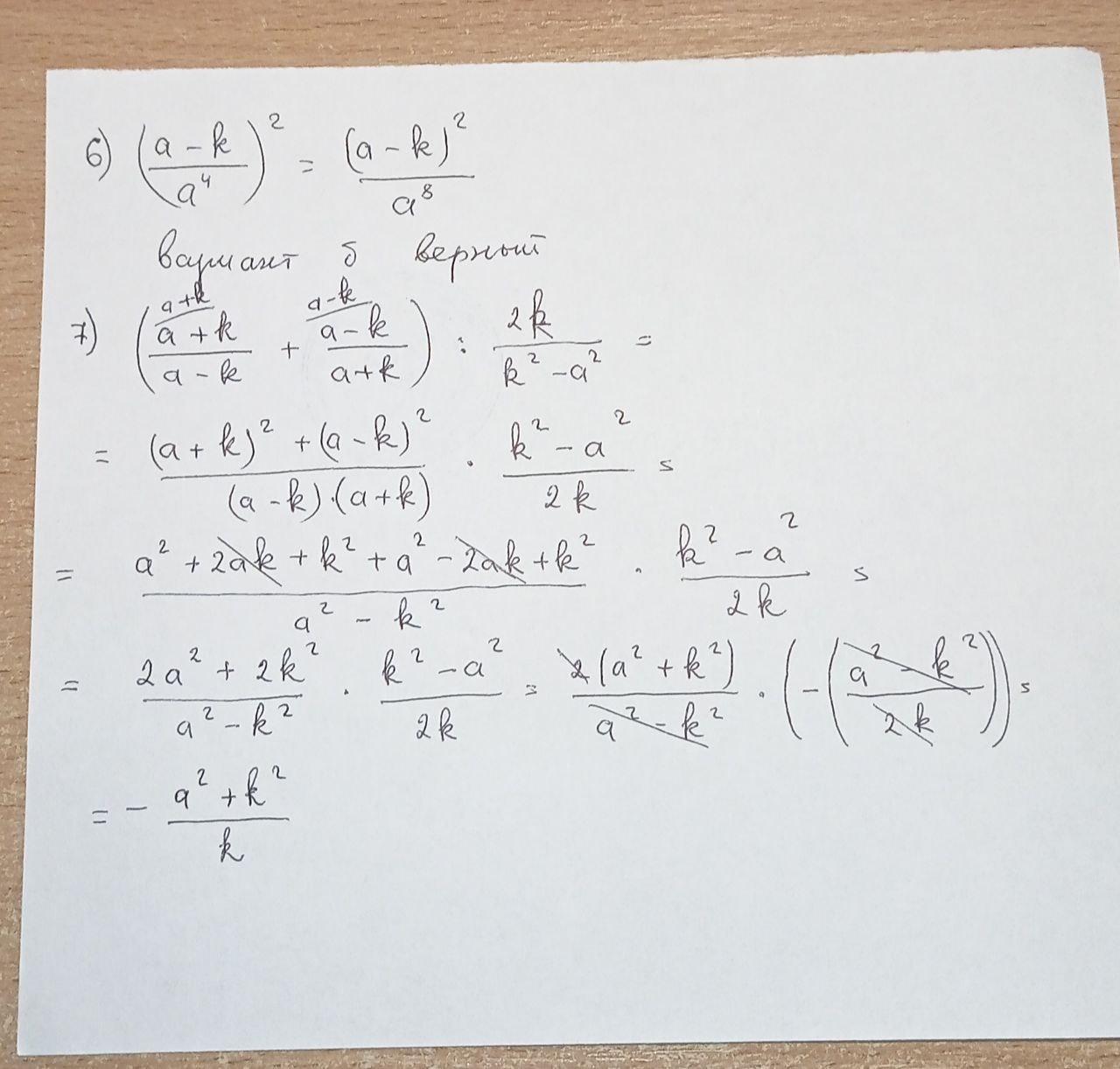
Ответ: в файле

Объяснение:

Приложения:
Вас заинтересует