• Предмет: Алгебра
  • Автор: arsbobilev
  • Вопрос задан 1 год назад

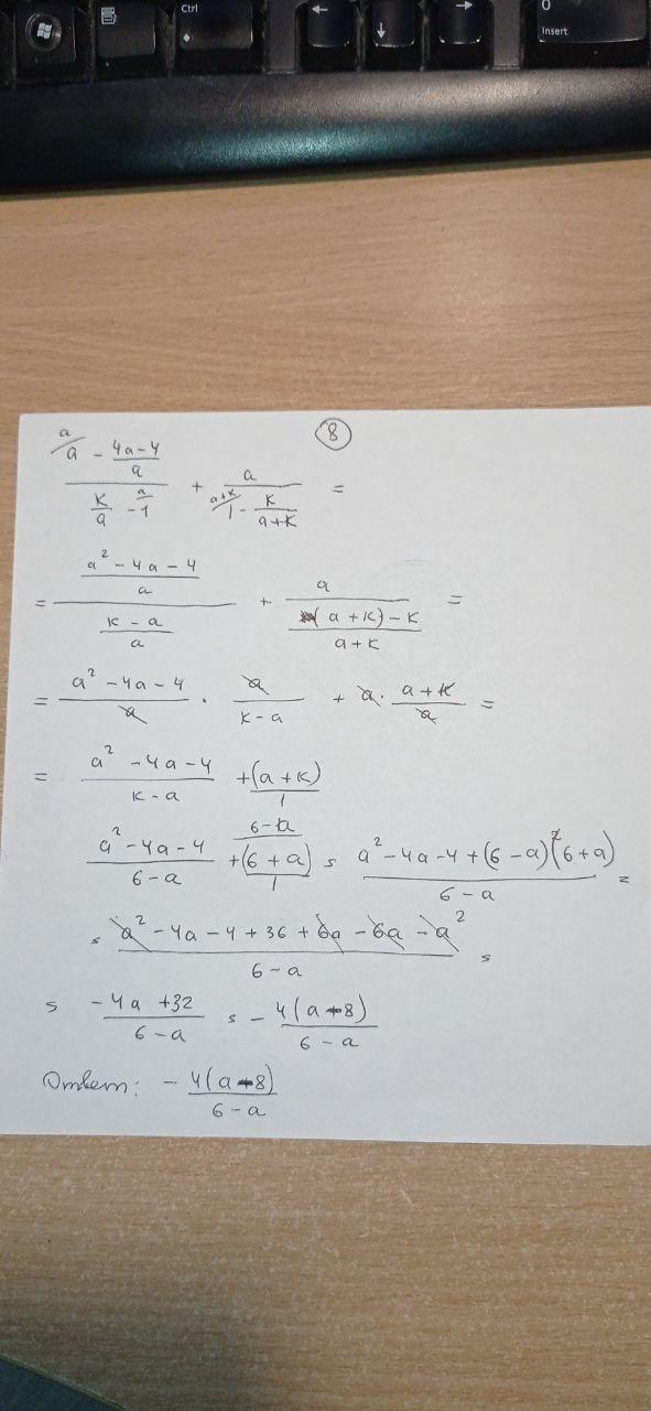
ЧИСЛО K=6
ПОМОГИТЕ ПОЖАЛУЙСТА !!!!!!!

Приложения:

Аноним: Динафик
arsbobilev: Тебе то во же
Yuriyqp: в 9 задании нужно тоже к=6 подставлять? какой это класс?
arsbobilev: да это 8 класс

Ответы

Ответ дал: sashathyrenzhapov
0

Ответ:

цей ответ тільки на восьму вправу

Объяснение:

Приложения:
Ответ дал: Yuriyqp
1

Ответ: в файлах

Объяснение:

Приложения:

arsbobilev: спаисбо
Yuriyqp: пожалуйста
Вас заинтересует