• Предмет: Геометрия
  • Автор: arina10001000
  • Вопрос задан 1 год назад

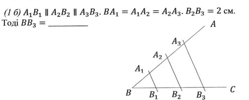
Завдання прикріплено в фото.​

Приложения:

Ответы

Ответ дал: математик2011
1

Ответ:

Объяснение:

ВВ1=В1В2=В2В3=2 см

ВВ3=ВВ1+В1В2+В2В3=2+2+2=6

Вас заинтересует