Разложите квадратный трехчлен на множители
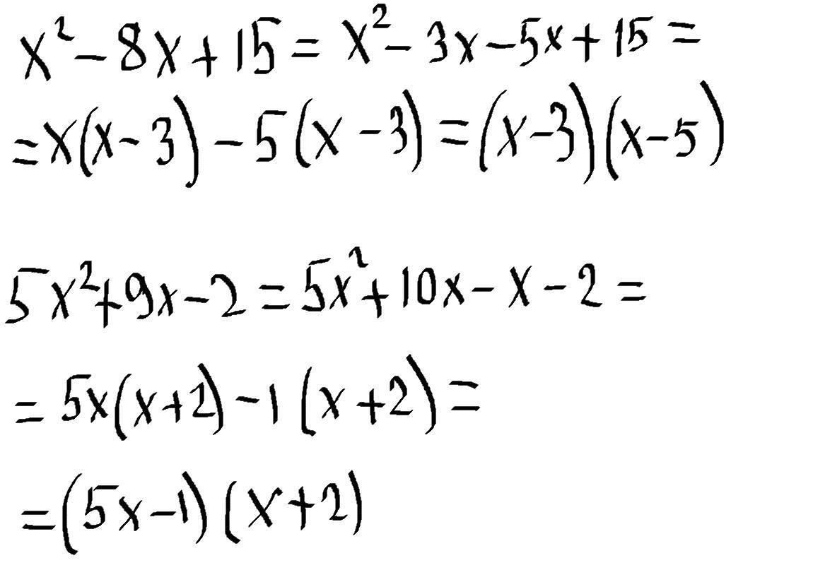
Х² - 8Х + 15=
5Х² +9Х -2=
Прошу решения из интернета мне не нужны, делайте сами, и сделайте правильно, желательно фоткой
Ответы
Ответ дал:
1
Ответ:
1) (x-3)(x-5)
2) (5x-1)(x+2)
Объяснение:
На фото
Приложения:

Вас заинтересует
1 год назад
2 года назад
2 года назад
8 лет назад
8 лет назад